Salario Mínimo en Colombia 2026: Valor Actual e Histórico
Descubre la evolución del salario mínimo en Colombia de las últimas cuatro décadas. ¡Descarga el histórico en Excel!
El salario mínimo en Colombia, representa la remuneración mínima que un trabajador debe recibir por hora, día, semana, quincena o mes por la prestación de sus servicios personales.
¿En cuánto quedó el salario mínimo en Colombia para 2026?
El salario mínimo legal mensual vigente (SMLMV) en Colombia para 2026 fue fijado nuevamente mediante el Decreto 159 de 2026 el cual tendrá vigencia de carácter transitorio y estará sujeto a la decisión de fondo que emita el Consejo de Estado, conservando el mismo valor e incremento del 23% frente al año anterior.
Este valor define la remuneración mínima que deben recibir los trabajadores que laboran la jornada ordinaria.
Salario mínimo en Colombia 2026 — valores oficiales
- Salario mínimo mensual (SMMLV): $1.750.905
- Auxilio de transporte: $249.095
- Total devengado mensual: $2.000.000
- Valor diario del salario mínimo: $58.364
- Valor hora ordinaria: $7.958,66 (jornada 220 horas mes)
El valor de $1.750.095 corresponde exclusivamente al salario básico y no incluye prestaciones sociales.
El valor de la hora ordinaria de $7.958,66 es base para calcular las horas extras laboradas.
Recuerda que la jornada máxima laboral para el primer semestre de 2026 es de 44 horas semanales, equivalentes a 220 horas mensuales. A partir del 15 de julio de 2026, la jornada máxima se reducirá a 42 horas semanales, terminando con la implementación gradual establecida por la Ley 2101 de 2021.
En cumplimiento de la suspensión del Decreto 1469 de 2025, ordenada por el Consejo de Estado, el Gobierno Colombiano expidió el Decreto 159 de 2026 el cual tendrá vigencia de carácter transitorio y estará sujeto a la decisión de fondo que emita la corporación.
El salario mínimo conserva el valor fijado inicialmente, correspondiente a $1.750.905.
El Gobierno incorporó el soporte técnico que no había sido incluido en el primer decreto y que fue requerido por el Consejo de Estado.
El 19 de febrero de 2026 el Gobierno expidió el Decreto 159 de 2026, el cual entra en vigor a partir de su expedición y regirá hasta tanto se dicte sentencia por parte del Consejo de Estado.
El salario mínimo se mantiene en $1.750.905 y el auxilio de transporte que no sufrió cambios en $249.095, para un total de $2.000.000.

¿Cómo se determinó el aumento del 23% para el salario mínimo?
Ante la falta de consenso en la fijación del salario mínimo dentro de la Comisión Permanente de Concertación de Políticas Salariales y Laborales (CPPSL), órgano de composición tripartita integrado por el Gobierno, los empleadores y los trabajadores conforme a la Ley 278 de 1996, corresponde al Gobierno nacional establecer su valor mediante decreto. Para ello, debe considerar los parámetros previstos en el artículo 8 de dicha ley, entre ellos: la meta de inflación del año siguiente, la productividad acordada por el comité tripartito de productividad, la contribución de los salarios al ingreso nacional, el crecimiento del PIB y el Índice de Precios al Consumidor (IPC).
En este contexto, el incremento del salario mínimo para 2026, fijado en 23 %, no obedeció a un único indicador económico, sino a la integración sistemática de los criterios legales mencionados, junto con un componente adicional orientado a reducir la brecha existente entre el salario mínimo vigente y el costo real de vida, en cumplimiento del principio constitucional de salario mínimo vital y móvil.
En la siguiente tabla se pueden observar cada uno de los indicadores tomados en cuenta por el Decreto 159 de 2026:
| Ítem | Parámetro | Fuente | Porcentaje |
|---|---|---|---|
| A | Inflación 2025 esperada * | Banco de la República | 5,30% |
| B | Productividad total de factores (PTF), 3 trim 2025 |
DANE | 0,91% |
| C | Contribución de salarios al ingreso nacional (I-II T 2024-2025) |
DANE | 2,81% |
| D | Contribución de salarios al ingreso nacional mixto ponderado (alfa: 66%) |
DANE | 1,65% |
| E | Crecimiento estimado del PIB 2025 |
DANE | 2,90% |
| Suma de parámetros Ley 278 de 1996 |
13,6% |
- (*) En el Decreto 159 de 2026 se toma como referencia una inflación esperada del 5,3 %, debido a que, al momento de fijarse el salario mínimo en diciembre de 2025, aún no se disponía del dato oficial de inflación anual consolidada. Posteriormente, el Índice de Precios al Consumidor (IPC) cerró el 31 de diciembre de 2025 en 5,1 %, cifra definitiva reportada una vez finalizado el año.
Brecha del 9,4%: criterios técnicos que fundamentan el aumento del salario mínimo 2026
Según el decreto, una vez efectuados los cálculos técnicos correspondientes, la brecha estimada para el año 2025 se fijó en 9,4 %, como resultado de la comparación entre el salario mínimo vigente y el referente técnico de suficiencia del ingreso.
Con base en lo anterior, el Gobierno tomó el porcentaje resultante de la integración de los parámetros económicos previstos en la Ley 278 de 1996 (13,6%) y le adicionó el componente de cierre de brecha del 9,4%. De esta sumatoria se obtiene el incremento total del 23% aplicado al salario mínimo para 2026, de la siguiente manera:
Ponderación parámetros incremento salarial 2026
| Parámetros | Incremento % | Ponderación |
|---|---|---|
| Parámetros Ley 278 de 1996 | 13,6% | 59% |
| Cierre brecha parcial salario Vital | 9,4% | 41% |
| % total incremento | 23,0% | 100% |
Fuente: Ministerio del Trabajo
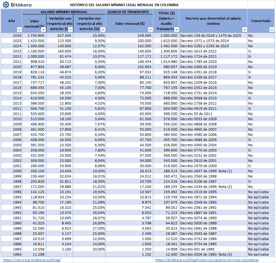
Evolución del salario mínimo (1984 - 2026)
A continuación, se presenta la evolución del salario mínimo en Colombia a lo largo de las últimas décadas, lo que permite entender cómo ha cambiado el ingreso mínimo de los trabajadores frente a las condiciones económicas del país.
Ponemos a tu disposición un archivo en Excel que detalla el valor del histórico del salario mínimo en Colombia desde 1984 hasta 2026, mostrando la variación mes a mes en valor y porcentaje.
Consulta la imagen con el histórico y, a continuación, descarga el archivo en Excel.

Nota (1): desde 1984 hasta el año 2000, el salario mínimo se decretaba por el valor diario. El valor mensual mostrado en la tabla es el resultado de multiplicar el valor diario por 30 días.
Nota (2): el proceso de concertación tripartito inició con el salario mínimo de 1997, amparado en la Ley 278 de 1996.
Nota (3): mediante el Decreto 3506 de diciembre de 1983, se llevó a cabo la unificación del salario mínimo para los sectores urbano y rural. Cambio que entró en vigencia a partir del año 1984.
Además, indicamos el decreto correspondiente que estableció el valor del salario mínimo. El archivo proporciona información sobre el valor del auxilio de transporte para cada año.
También podrás explorar cómo se define el salario mínimo, cuántas veces se ha logrado un acuerdo y qué se tiene en cuenta para su definición.
¿Qué es el salario mínimo?
En Colombia, el salario mínimo legal mensual está regulado por el artículo 25 de la Constitución Política y el artículo 145 del CST. Es la cantidad mínima que un trabajador debe recibir por hora, día, semana, quincena o mes, por la prestación de su servicio.
Además, es un derecho fundamental de los trabajadores y su objetivo es garantizar un nivel de vida digno para los trabajadores y sus familias.
El salario mínimo lo integran dos elementos:
- Salario básico. Es la cantidad que se paga por la jornada laboral pactada, que para el primer semestre de 2026 no puede exceder de 44 horas a la semana y 220 horas al mes.
- Auxilio de transporte. Es una ayuda económica que se paga a los trabajadores para cubrir los gastos de transporte público.
Histórico del salario mínimo y auxilio de transporte en Colombia
La tabla siguiente presenta el valor del salario mínimo y del auxilio de transporte desde 1984 hasta 2026, el cual incluye:
- Valor mensual salario mínimo: Valor del salario mínimo establecido en cada año.
- Variación: La variación del salario mínimo en términos de valor y porcentaje respecto al año anterior.
- Valor mensual del auxilio de transporte: El valor del auxilio de transporte determinado en cada año.
- Total: La suma del salario mínimo y el auxilio de transporte.
- Decreto: El decreto que estableció el salario mínimo de cada año.
- Concertado: Sí indica que fue acordado en el Comité tripartito, mientras que No señala que no hubo consenso y el Gobierno lo estableció mediante decreto.
Puedes descargar el archivo histórico del salario mínimo en Excel para hacer tus cálculos.
- Nota 1: Desde 1984 hasta el año 2000 incluido, el salario mínimo se decretaba por el valor diario. El valor mensual mostrado en la tabla es el resultado de multiplicar el valor diario por 30 días.
- Nota 2: El proceso de concertación tripartito inició con el salario mínimo de 1997, amparado en la Ley 278 de 1996.
- Nota 3: Mediante el Decreto 3506 de diciembre de 1983, se llevó a cabo la unificación del salario mínimo para los sectores urbano y rural. Cambio que entró en vigencia a partir del año 1984, fijando un salario diario de $376,60, el cual al multiplicar por los 30 días del mes, resulta en el salario mínimo legal de $11.298 mensuales.
¿Cómo se define el salario mínimo en Colombia?
La Constitución Política de Colombia y la Ley 278 de 1996 crearon y reglamentaron, respectivamente, la Comisión Permanente de Políticas Salariales y Laborales (CPPSL).
La estructura de la CPPSL es tripartita y está integrada por:
- Gobierno: Ministros: Trabajo, Hacienda, Desarrollo, Agricultura. Director del DNP.
- Representantes de los empleadores: 5 representantes de asociaciones gremiales más importantes.
- Representantes de los trabajadores: 3 representantes sindicatos, 1 de pensionados y 1 de desempleados.
Una de las funciones de la Comisión, está regulada en el artículo 2 literal d) de la Ley 278 de 1996, que indica que esta Comisión debe fijar de manera concertada el salario mínimo. El proceso es el siguiente:
- Debe lograrse el acuerdo tripartito del nuevo salario mínimo a más tardar el 15 de diciembre de cada año.
- Si no llegan a un acuerdo las tres partes, deben reunirse nuevamente para buscar el consenso antes del 30 de diciembre.
- Si definitivamente no se logra la concertación entre las partes, el Gobierno fijará mediante decreto el valor del salario mínimo legal mensual.
Consulta todos los detalles en nuestro artículo 👇

Histórico del salario mínimo que ha sido concertado entre las partes
El proceso de negociación tripartito, según la Ley 278 de 1996, se instauró para establecer el salario mínimo a partir de 1997.
Para definir el salario mínimo del año 1997 al 2025, la Mesa de Negociación del salario mínimo se ha reunido en 30 ocasiones. En 10 de ellas, se ha logrado un consenso, lo que representa un 33% de los casos.
A continuación, te presentamos una tabla con los años en los que se logró concertar el salario mínimo:
Tabla de años en los que se concertó el salario mínimo
| Año | Valor salario mínimo $ | Aumento (%) |
|---|---|---|
| 2023 | 1.160.000 | 16.00% |
| 2022 | 1.000.000 | 10.07% |
| 2019 | 828.116 | 6.00% |
| 2018 | 781.242 | 5.90% |
| 2014 | 616.000 | 4.50% |
| 2012 | 566.700 | 5.81% |
| 2006 | 408.000 | 6.95% |
| 2004 | 358.000 | 7.83% |
| 2001 | 286.000 | 9.96% |
| 1998 | 203.826 | 18.50% |
Cuando se alcanza un acuerdo en la mesa de negociación, se elabora un acta y posteriormente el Gobierno emite un decreto, fundamentado en dicho acuerdo.
¿Qué se tiene en cuenta para definir el salario mínimo?
Según el segundo inciso del parágrafo del artículo 8 de la Ley 278 de 1996, en ausencia de acuerdo tripartito en la Comisión Permanente de Concertación de Políticas Salariales y Laborales, el Gobierno tiene la responsabilidad de determinar el aumento salarial basándose en variables económicas establecidas por la ley y la jurisprudencia constitucional. Estas variables incluyen:
- La meta de inflación del siguiente año fijada por la Junta del Banco de la República.
- La productividad acordada por el comité tripartito de productividad
- La contribución de los salarios al ingreso nacional
- El incremento del producto interno bruto (PIB)
- Índice de precios al consumidor (IPC).
Con Bitákora no tendrás que preocuparte de los cambios en el salario mínimo
El software de nómina Bitákora actualiza automáticamente los cambios del salario mínimo, valor de las horas extras, auxilio de transporte y demás índices decretados por el Gobierno nacional. También generamos el documento de nómina electrónica de tus empleados en un clic.
El valor de la hora ordinaria, que sirve como base para calcular las horas extras y recargos, se actualizará automáticamente con el nuevo salario y según la jornada laboral correspondiente.
Deja que Bitákora se encargue de la nómina, para que tú puedas enfocarte en la gestión del talento de tu organización.
