Histórico del salario mínimo Colombia - Actualizado 2026
Descubre la evolución del salario mínimo en Colombia de las últimas cuatro décadas. ¡Descarga el histórico en Excel!
El salario mínimo en Colombia, representa la remuneración mínima que un trabajador debe recibir por hora, día, semana, quincena o mes por la prestación de sus servicios.
Aquí te contamos como ha sido la evolución del salario mínimo en Colombia durante los últimos 42 años. Ponemos a tu disposición un archivo en Excel que detalla el valor del histórico del salario mínimo en Colombia desde 1984 hasta 2026, mostrando la variación mes a mes en valor y porcentaje.


Nota (1): desde 1984 hasta el año 2000, el salario mínimo se decretaba por el valor diario. El valor mensual mostrado en la tabla es el resultado de multiplicar el valor diario por 30 días.
Nota (2): el proceso de concertación tripartito inició con el salario mínimo de 1997, amparado en la Ley 278 de 1996.
Nota (3): mediante el Decreto 3506 de diciembre de 1983, se llevó a cabo la unificación del salario mínimo para los sectores urbano y rural.
Cambio que entró en vigencia a partir del año 1984.
Además, indicamos el decreto correspondiente que estableció el valor del salario mínimo. El archivo proporciona información sobre el valor del auxilio de transporte para cada año.
También podrás explorar cómo se define el salario mínimo, cuántas veces se ha logrado un acuerdo y qué se tiene en cuenta para su definición.
¿Qué es el salario mínimo?
En Colombia, el salario mínimo legal mensual está regulado por el artículo 25 de la Constitución Política y el artículo 145 del CST. Es la cantidad mínima que un trabajador debe recibir por hora, día, semana, quincena o mes, por la prestación de su servicio.
Además, es un derecho fundamental de los trabajadores y su objetivo es garantizar un nivel de vida digno para los trabajadores y sus familias.
El salario mínimo lo integran dos elementos:
- Salario básico. Es la cantidad que se paga por la jornada laboral pactada, que para el primer semestre de 2026 no puede exceder de 44 horas a la semana y 220 horas al mes.
- Auxilio de transporte. Es una ayuda económica que se paga a los trabajadores para cubrir los gastos de transporte público.
Histórico del salario mínimo y auxilio de transporte en Colombia
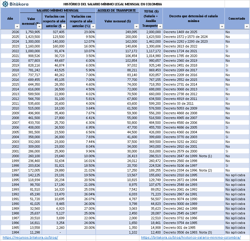
La tabla siguiente presenta el valor del salario mínimo y del auxilio de transporte desde 1984 hasta 2026, el cual incluye:
- Valor mensual salario mínimo: Valor del salario mínimo establecido en cada año.
- Variación: La variación del salario mínimo en términos de valor y porcentaje respecto al año anterior.
- Valor mensual del auxilio de transporte: El valor del auxilio de transporte determinado en cada año.
- Total: La suma del salario mínimo y el auxilio de transporte.
- Decreto: El decreto que estableció el salario mínimo de cada año.
- Concertado: Sí indica que fue acordado en el Comité tripartito, mientras que No señala que no hubo consenso y el Gobierno lo estableció mediante decreto.
Puedes descargar el archivo histórico del salario mínimo en Excel para hacer tus cálculos.
- Nota 1: Desde 1984 hasta el año 2000 incluido, el salario mínimo se decretaba por el valor diario. El valor mensual mostrado en la tabla es el resultado de multiplicar el valor diario por 30 días.
- Nota 2: El proceso de concertación tripartito inició con el salario mínimo de 1997, amparado en la Ley 278 de 1996.
- Nota 3: Mediante el Decreto 3506 de diciembre de 1983, se llevó a cabo la unificación del salario mínimo para los sectores urbano y rural. Cambio que entró en vigencia a partir del año 1984, fijando un salario diario de $376,60, el cual al multiplicar por los 30 días del mes, resulta en el salario mínimo legal de $11.298 mensuales.
¿Cómo se define el salario mínimo en Colombia?
La Constitución Política de Colombia y la Ley 278 de 1996 crearon y reglamentaron, respectivamente, la Comisión Permanente de Políticas Salariales y Laborales (CPPSL).
La estructura de la CPPSL es tripartita y está integrada por:
- Gobierno: Ministros: Trabajo, Hacienda, Desarrollo, Agricultura. Director del DNP.
- Representantes de los empleadores: 5 representantes de asociaciones gremiales más importantes.
- Representantes de los trabajadores: 3 representantes sindicatos, 1 de pensionados y 1 de desempleados.
Una de las funciones de la Comisión, está regulada en el artículo 2 literal d) de la Ley 278 de 1996, que indica que esta Comisión debe fijar de manera concertada el salario mínimo. El proceso es el siguiente:
- Debe lograrse el acuerdo tripartito del nuevo salario mínimo a más tardar el 15 de diciembre de cada año.
- Si no llegan a un acuerdo las tres partes, deben reunirse nuevamente para buscar el consenso antes del 30 de diciembre.
- Si definitivamente no se logra la concertación entre las partes, el Gobierno fijará mediante decreto el valor del salario mínimo legal mensual.
Consulta todos los detalles en nuestro artículo 👇

Histórico del salario mínimo que ha sido concertado entre las partes
El proceso de negociación tripartito, según la Ley 278 de 1996, se instauró para establecer el salario mínimo a partir de 1997.
Para definir el salario mínimo del año 1997 al 2025, la Mesa de Negociación del salario mínimo se ha reunido en 30 ocasiones. En 10 de ellas, se ha logrado un consenso, lo que representa un 33% de los casos.
A continuación, te presentamos una tabla con los años en los que se logró concertar el salario mínimo:
Tabla de años en los que se concertó el salario mínimo
| Año | Valor salario mínimo $ | Aumento (%) |
|---|---|---|
| 2023 | 1.160.000 | 16.00% |
| 2022 | 1.000.000 | 10.07% |
| 2019 | 828.116 | 6.00% |
| 2018 | 781.242 | 5.90% |
| 2014 | 616.000 | 4.50% |
| 2012 | 566.700 | 5.81% |
| 2006 | 408.000 | 6.95% |
| 2004 | 358.000 | 7.83% |
| 2001 | 286.000 | 9.96% |
| 1998 | 203.826 | 18.50% |
Cuando se alcanza un acuerdo en la mesa de negociación, se elabora un acta y posteriormente el Gobierno emite un decreto, fundamentado en dicho acuerdo.
¿Qué se tiene en cuenta para definir el salario mínimo?
Según el segundo inciso del parágrafo del artículo 8 de la Ley 278 de 1996, en ausencia de acuerdo tripartito en la Comisión Permanente de Concertación de Políticas Salariales y Laborales, el Gobierno tiene la responsabilidad de determinar el aumento salarial basándose en variables económicas establecidas por la ley y la jurisprudencia constitucional. Estas variables incluyen:
- La meta de inflación del siguiente año fijada por la Junta del Banco de la República.
- La productividad acordada por el comité tripartito de productividad
- La contribución de los salarios al ingreso nacional
- El incremento del producto interno bruto (PIB)
- Índice de precios al consumidor (IPC).
Con Bitákora no tendrás que preocuparte de los cambios en el salario mínimo
El software de nómina Bitákora actualiza automáticamente los cambios del salario mínimo, auxilio de transporte y demás índices decretados por el Gobierno nacional. También generamos el documento de nómina electrónica de tus empleados en un clic.
El valor de la hora ordinaria, que sirve como base para calcular las horas extras y recargos, se actualizará automáticamente con el nuevo salario y según la jornada laboral correspondiente.
Deja que Bitákora se encargue de la nómina, para que tú puedas enfocarte en la gestión del talento de tu organización.
